Home
About Us
Course Offered
Test
Contact Us
CBSE/ICSE Online Test
IGCSE, A-Level
Ask and Answer
NCERT Solutions
Class V
Class VI
Class VII
Class VIII
Class IX
Class X
Class XI
Class XII
Home >>
Get NCERT Solution >>
NCERT Solutions Class 11th Physics >>
Chapter 8: Gravitation
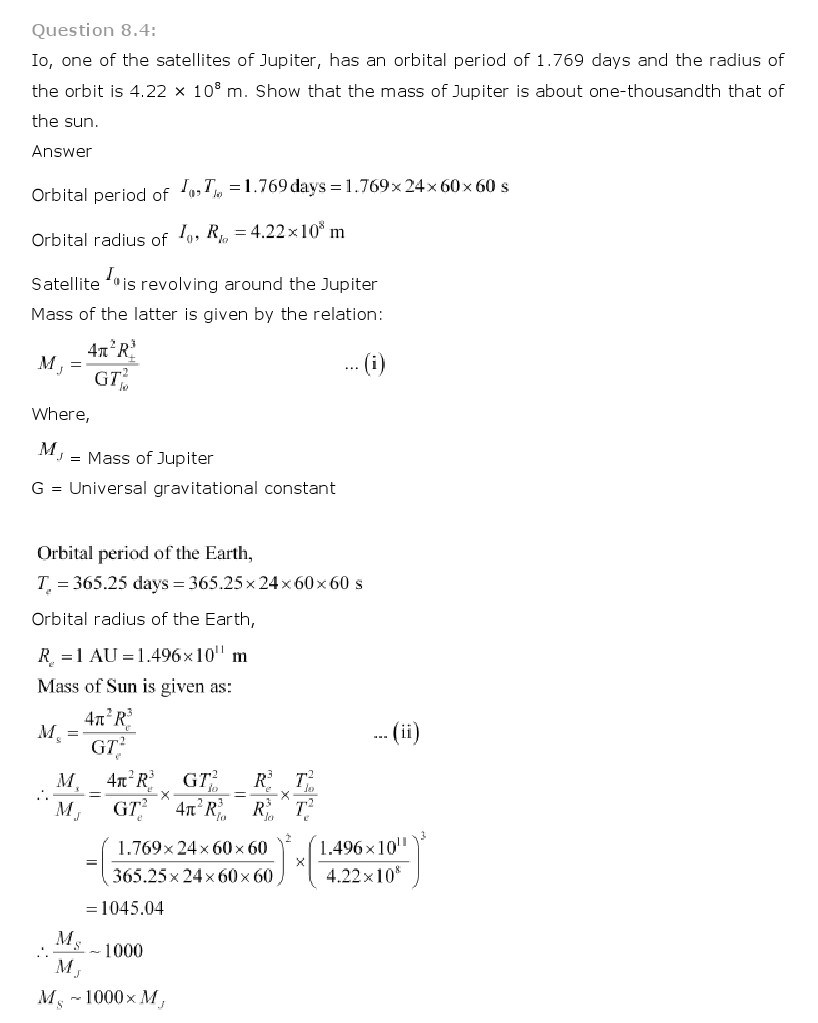
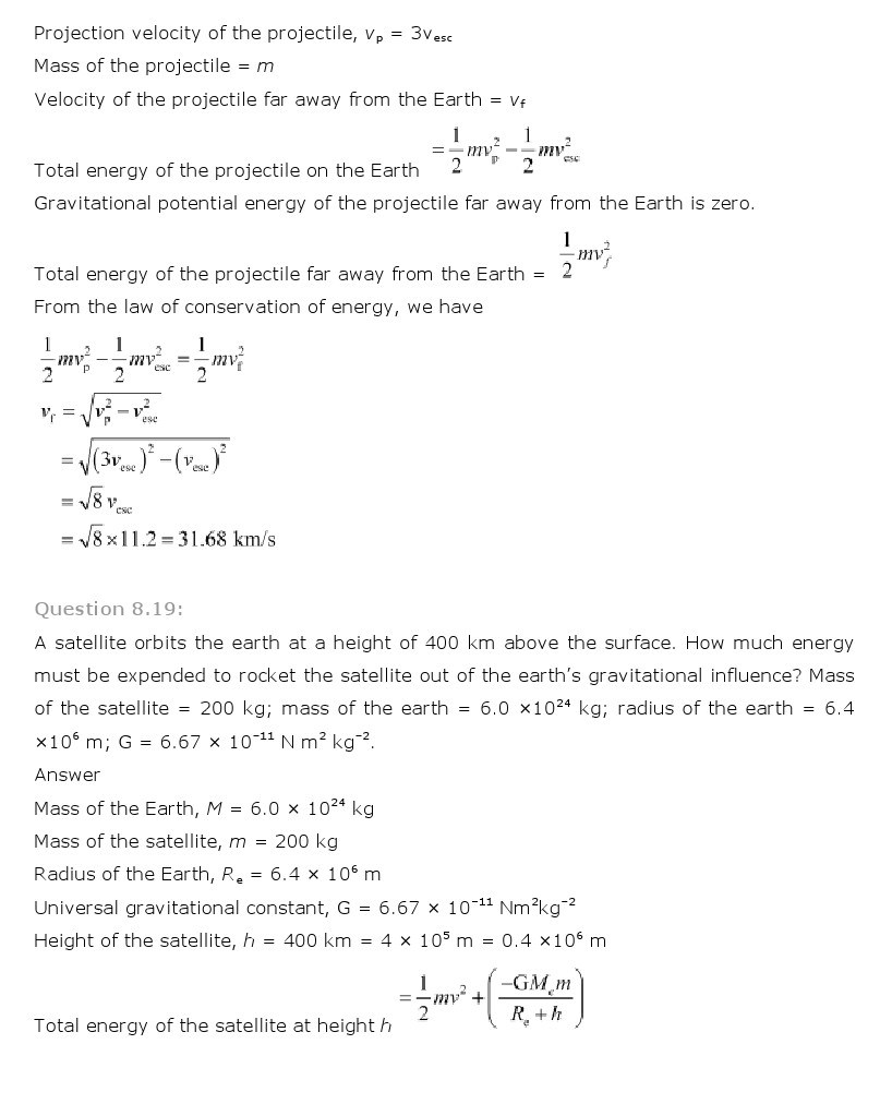
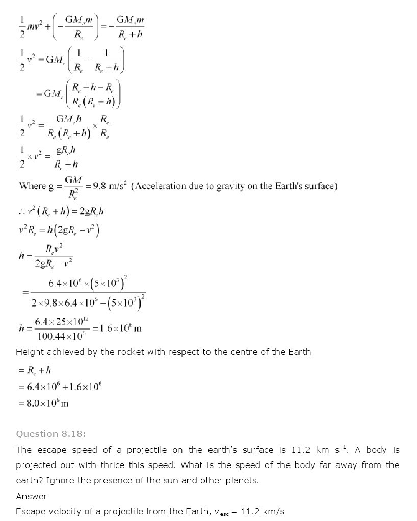
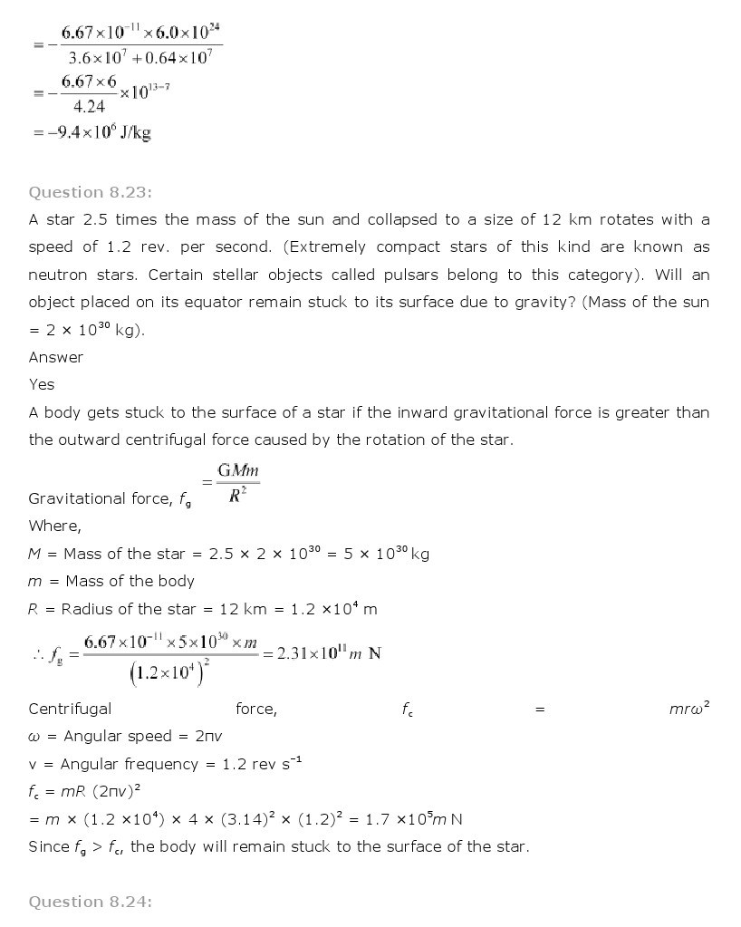
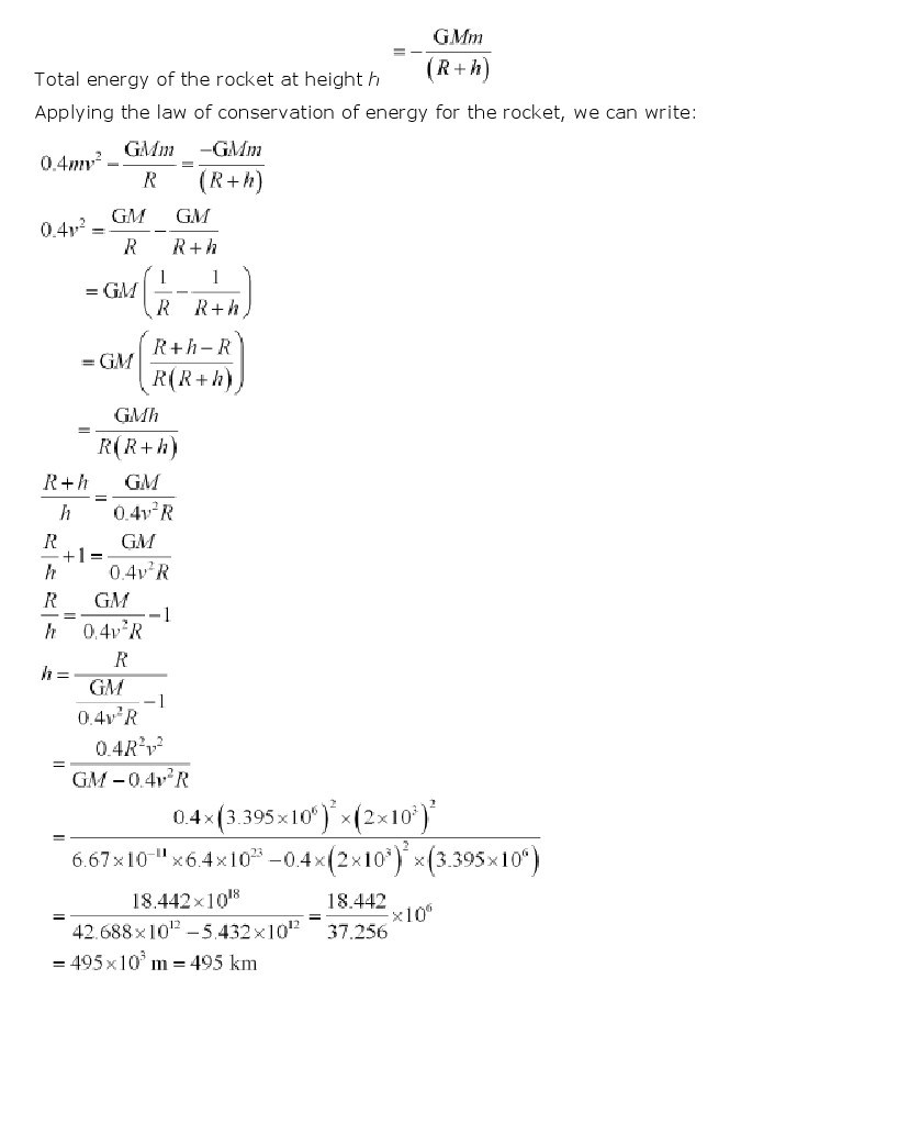
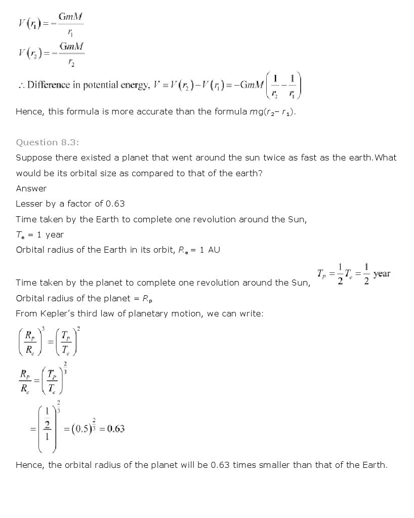
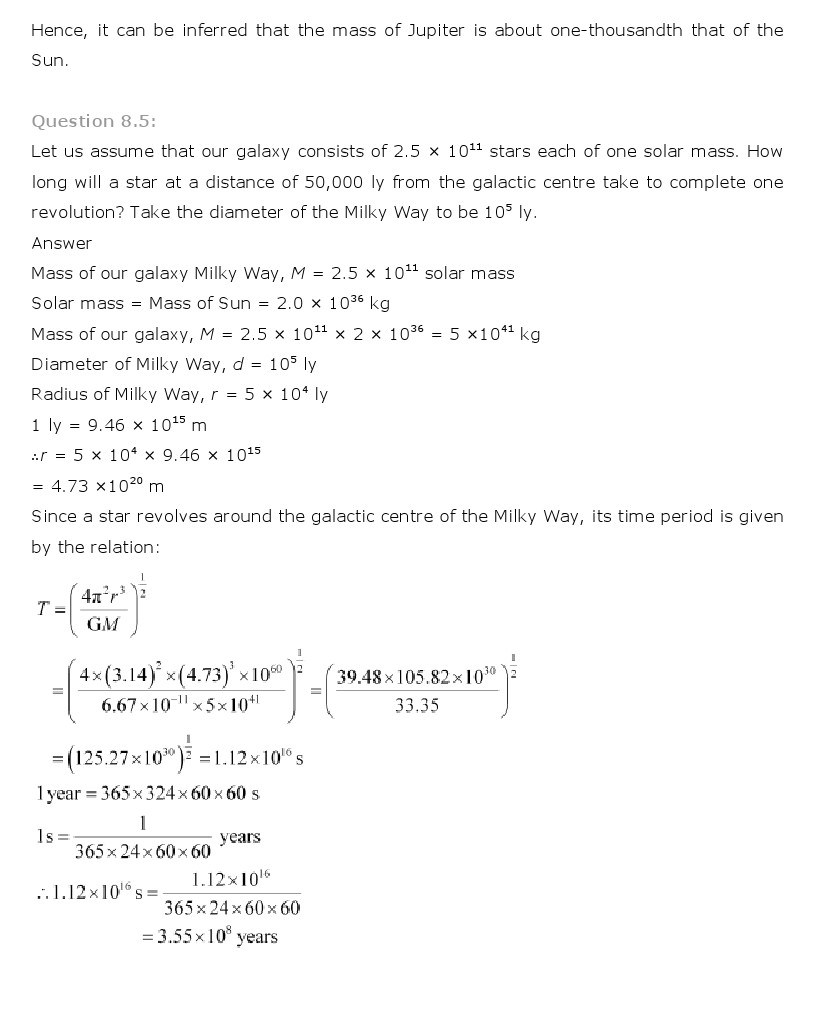
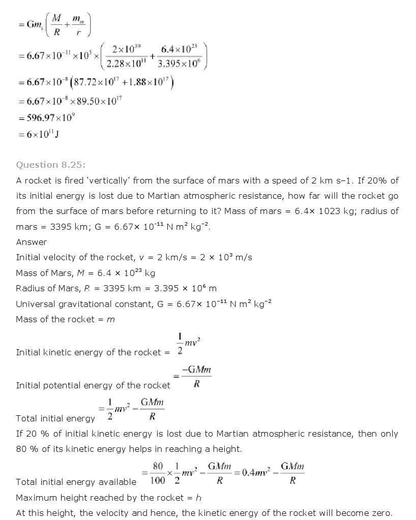
NCERT Solutions for Class 11th Physics Chapter 8 – Gravitation
Go Back to NCERT Solutions Biology Page
Physics
Chemistry
Maths
To start your test register with us:
To start your test, registered user must login with their User Name & Password: